商品分类
我的关注
小洞天儿
淘宝省钱小助手
历史查询
檀香
T恤 棉
围炉煮茶
军大衣
闺蜜机
伏湿膏
陶瓷茶杯
怪兽家族
茶洗
血压计
热门搜索
商品分类
小洞天儿
淘宝优惠券
母婴玩具
化妆品
珠宝饰品
生鲜水果
鲜花
店铺精选
品牌精选
搜券券
收藏商品
无线压棉夹棉面料服装里布秋冬复合压缩内衬绗棉布料薄款手工DIY
¥
3.5
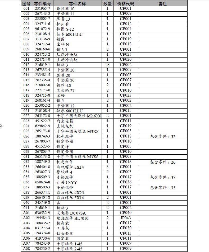
牧田充电式冲击起子机TD021D/TD021DSE原装零配件
价格
¥
118
运输
江苏 无锡 至 上海
月销量
0
立即购买
复制去粘贴到QQ/微信
品类齐全,轻松购物
多仓直发,极速配送
精选优选,精致服务
天天低价,畅选无忧